7月21日至23日,由国务院批准,四川省人民政府、工业和信息化部主办的2022世界动力电池大会将在四川省宜宾市举行。在国家“双碳”目标背景下,大会的重要意义越发凸显,新产业加速成势,绿色闭环全产业链初步形成,产业从无到有,产值从零到今年上半年突破320亿元,这是宜宾动力电池产业在短短几年内交出的一份亮眼答卷。
时值宜宾召开世界动力电池大会前夕,welcome皇冠地址新能源电池学院陈泽华博士科研团队在新能源材料领域的研究取得突破性进展,该成果发表在国际知名期刊JOURNAL OF ALLOYS AND COMPOUNDS,期刊中文名为《合金化合物杂志》:该期刊的影响因子为6.371,该期刊的CiteScore为9.6,发表的研究论文题目为《Ultra-high capacity of Li1.6-xMn0.4TixO2 as a cathode material》,中文名为《超高容量正极材料Li1.6-xMn0.4TixO2》,陈泽华为第一作者及第一通讯作者,我校为第一通讯单位。
论文发表链接:https://papers.ssrn.com/sol3/papers.cfm?abstract_id=4126096
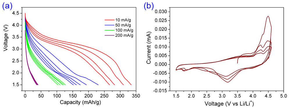
本工作通过球磨及高温固相法结合,有效调控锰和钛的含量比,通过性能优化,合成了具有超高容量的Li1.3Mn0.4Ti0.3O2正极材料,该材料结晶度高,粒径均匀,在电流密度10、50和100 mA/g情况下初始容量分别达到334.9、230.5和127.3 mAh/g。通过电化学表征揭示了Mn3+/Mn4+、Mn2+/Mn3+和O2-/O-的氧化还原对Li1.3Mn0.4Ti0.3O2超高容量的贡献规律。采用基于密度泛函理论的计算方法研究了Li1.3Mn0.4Ti0.3O2中的态密度,实验结果表明,Li1.3Mn0.4Ti0.3O2是一种很有前途的具备商业化潜质的高能量密度锂离子电池正极材料。

图一.备样品材料Li-Mn-Ti-O系列的XRD示意图和首次放电示意图

图二.所制备样品材料Li1.3Mn0.4Ti0.3O2的XRD精修图及晶体结构解析图

图三.所制样品材料Li1.3Mn0.4Ti0.3O2的SEM图及相应的能量色散光谱图

图四.所制样品材料Li1.3Mn0.4Ti0.3O2的XPS图

图五.所制样品材料Li1.3Mn0.4Ti0.3O2的不同电流密度下的放电曲线及循环伏安测试图

图六.具有高度对称性和均匀性的25种Li1.3Mn0.4Ti0.3O2配置的总能量分布图。(b)-(d)三种低能组态的总态密度和部分态密度(分别为情况7、8和9)。绿线、紫线和黄线分别表示O p、Ti d和Mn d轨道的态分密度图。

图七.首次充放电曲线上的数据采集点及对应采集点材料的XRD测试数据

图八.(a)情况7、(b)情况8和(c)情况9导带底部电荷密度可视化分布图。
(新能源电池学院 供稿)